RayPrint: Strahlenvernetzung zur Performance-Steigerung von 3D-gedruckten Kunststoffteilen
Projektleiter: Henning Austmann
Projektnummer: 49MF210084
Laufzeit: 01.10.2021 – 31.03.2024
Aufgabenstellung
Das Projekt hatte das Ziel, die Wirkung von Elektronenstrahlen auf Rohstoffe und 3D-gedruckte Teile zu erforschen im Hinblick auf Verarbeitbarkeit, Schichtenhaftung und Wärmeformbeständigkeit. Daneben gehörten Genotoxizitätsuntersuchungen an neuen, biobasierten Strahlenvernetzungsverstärkern ebenso zur Aufgabenstellung wie die Erforschung der Wirkung der Strahlenvernetzungsverstärkern in spritzgegossenen Bauteilen aus Polyamid 6.
Ergebnisse
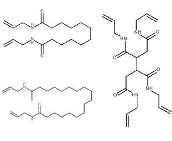
Durch Bestrahlung wurde die Herstellung und Verarbeitung von Filamenten aus thermoplastischem Silikon ermöglicht. Mit TMAIC modifiziertes PLA zeigte nach der Bestrahlung keine veränderte Wärmeformbeständigkeit. Die Allylamide N, N‘-Diallyldodecandiamid (DADDA), N, N‘-Diallyloctadecandiamid (DAODA) und N, N‘, N‘‘, N‘‘‘‑Tetraallylbutantetracarboxamid (TABTC) sind thermisch sehr beständige, genotoxisch unbedenkliche und teilweise biobasierte Strahlenvernetzungsverstärker für PA6, sie bewirken bei spritzgegossenen Probekörpern aus PA6 eine deutliche Steigerung der HDT/B (107 –> 189 °C) und im 3D-Druck eine Zunahme der Schichtenhaftung um 87 %. An DADDA wurden zertifizierte Genotoxizitätsuntersuchungen (OECD TG471 und TG487) in DMF durchgeführt und bestanden.
Anwendung
Die hohe thermische Beständigkeit, die bei den drei Additiven zwischen 257 °C und 289 °C liegt sowie die genotoxische Unbedenklichkeit von DADDA erlaubt den Einsatz der Additive in Lebensmittelkontaktanwendungen sowie in Anwendungen mit hohen Verarbeitungstemperaturen und langen Verweilzeiten in der Schmelze. Sie haben außerdem das Potential, TAIC z.B. in Elektroanwendungen zu ersetzen. Die Synthese konnte am TITK vom Labor- in den Technikumsmaßstab überführt werden und in USA wurde das Patent US12195598B2 erteilt. Auch für Europa wird mit der Erteilung in 2025 gerechnet. Die Additive befinden sich in der Markteinführungsphase. Weitere Forschungsprojekte sind für 2025 und 2026 beantragt.



